Задать свой вопрос   *более 50 000 пользователей получили ответ на «Решим всё»

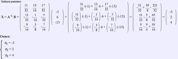
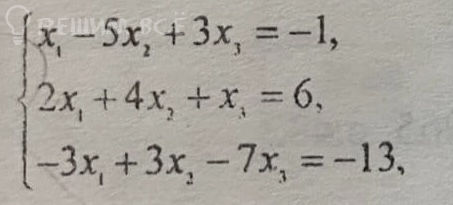
Задача 65863 Дана система трех линейных уравнений с...

Условие

Дана система трех линейных уравнений с тремя неизвестными. Требуется: 1) найти ее решение с помощью правила Крамера;
2) записать систему в матричной форме и решить ее средствами матричного исчисления, при этом правильность вычисления обратной матрицы проверить используя матричное умножение, 3) решить методом Гаусса.

математика колледж 634

Решение

1) решение с помощью правила Крамера:

Написать комментарий

Меню

Присоединяйся в ВК