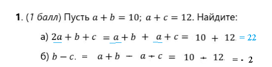
1. (1 балл) Пусть a + b = 10; a + c = 12. Найдите:
a) 2a + b + c;
б) b – c.
2. (1 балл) Упростить выражение:
7(x + 5) – 4(0,5x – 1) – (1,5x + 5y) + 5(0,2 – x).
3. (1 балл) Решите уравнение:
2x – 5 / 5 = 3x – 4 / 8.
4. (2 балла) Контрольную работу написали 25 человек: 2 человека получили двойку, 9 – тройку, 11 – четверку, остальные – пятерку. Все оценки выписали по порядку возрастания следующим образом: 2; 2; 2; 2; 3; 3; ...; 5; 5. Для полученного ряда оценок найдите:
а) среднее арифметическое;
б) моду;
в) размах;
г) медиану.
5. (2 балла) Выполните вычисления по действиям:
....
6. (2 балла) На одной полке стоит 12 книг, на другой 15 книг. После того, как с первой полки сняли в 3 раза больше книг, чем со второй, на первой полке осталось в 4 раза меньше книг, чем на второй. Сколько книг сняли с каждой полки?
[b]7x[/b] + [u]35[/u][b] -2x[/b]+[u]4[/u]-1,5x-5y+[u]1[/u][b]-5x[/b]=-1,5x-5y+[u]40[/u]
3.
Умножаем обе части уравнения на 40:
8*(2х-5)=5*(3х-4)
16х-40=15х-20
16х-15х=40-20
х=20
4.
По условию всего 25
"2"- две
"3"- девять
"4"- одиннадцать
"5"- три
Находим сумму всех оценок и делим на 25:
vector{x}=[m]\frac{(2\cdot 2+3\cdot 9+4\cdot 11+3\cdot 5}{25}=\frac{90}{25}=\frac{18}{5}=3,6[/m]- среднее арифметическое
6.
Пусть со второй полки сняли х книг, тогда с первой сняли 3х
На второй полке осталось (15-х) книг, на первой полке осталось (12-3х) книг
Известно, что на второй полке осталось в 4 раза больше.
Уравнение
15-x=4*(12-3x)
15-x=48-12x
12x-x=48-15
11x=33
x=3
3х=3*3=9
Со второй сняли 3 книги, осталось 12
С первой сняли 9 осталось 3
3 меньше чем 12 в 4 раза, и наоборот
12 больше 3 в 4 раза
Всего 25 оценок.
2 - 2, 3 - 9, 4 - 11, 5 - 3
2 + 9 + 11 + 3 = 25
выписали все оценки в ряд:
2233333333344444444444555
1) Среднее арифметическое равно сумме всех оценок, делённой на их количество.
(2*2+3*9+4*11+5*3)/25 = (4+27+44+15)/25 = 90/25 = 3,6
2) Мода - это значение, которое встречается чаще других.
В нашем ряду это 4 - встречается 11 раз.
3) Размах - это разность между наибольшим и наименьшим значениями. В нашем ряду это 5 - 2 = 3
4) Медиана - это значение, которое стоит в середине ряда.
У нас 25 значений, в середине ряда стоит 13-ое значение.
Это 4.