Задать свой вопрос   *более 50 000 пользователей получили ответ на «Решим всё»

Задача 65634 Упростите выражение а o (S0 X 1 1 6)...

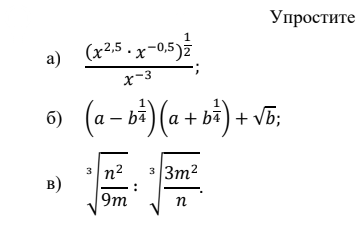
Условие

Упростите выражение а o (S0 X 1 1 6) (п - b?) (a + ЬЁ) +Vb; э '[8., и Эт п

математика колледж 195

Решение

а) [m]\frac{(x^{2,5}*x^{-0,5})^{1/2}}{x^{-3}} = \frac{(x^{2,5-0,5})^{1/2}}{x^{-3}} = \frac{(x^2)^{1/2}}{x^{-3}} = \frac{x}{x^{-3}} = x*x^3 = x^4[/m]
б) [m](a-b^{1/4})(a+b^{1/4}) + \sqrt{b} = a^2 - b^{1/2} + b^{1/2} = a^2[/m]
в) [m]\sqrt[3]{\frac{n^2}{9m}} : \sqrt[3]{\frac{3m^2}{n}} = \sqrt[3]{\frac{n^2}{9m}} * \sqrt[3]{\frac{n}{3m^2}} =[/m]
[m] = \sqrt[3]{\frac{n^2*n}{9m*3m^2}} = \sqrt[3]{\frac{n^3}{27m^3}} = \frac{n}{3m}[/m]

Написать комментарий

Меню

Присоединяйся в ВК