Задать свой вопрос   *более 50 000 пользователей получили ответ на «Решим всё»

Задача 65083 3. Найти значение производной функции в...

Условие

3. Найти значение производной функции в точке:

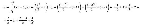
4. Найти площадь фигуры ограниченной графиками функций:

математика колледж 211

Решение


№ 4

Написать комментарий

Меню

Присоединяйся в ВК