Задать свой вопрос
*более 50 000 пользователей получили ответ на «Решим всё»
Задача 64955
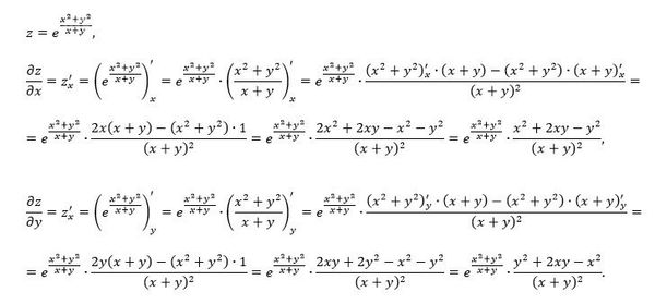
Найти частное производные от функции ...
Условие
629b812027155442abc511e8
04.06.2022 19:40:45
Найти частное производные от функции
математика ВУЗ
174
Решение
5f3eaa23faf909182968dde0
06.06.2022 10:48:34
★
Написать комментарий
Меню
Решим всё
Найти задачу
Категории
Статьи
Тесты
Архив задач
Присоединяйся в ВК