Задать свой вопрос   *более 50 000 пользователей получили ответ на «Решим всё»

Задача 64909 решить иррациональные уравнения...

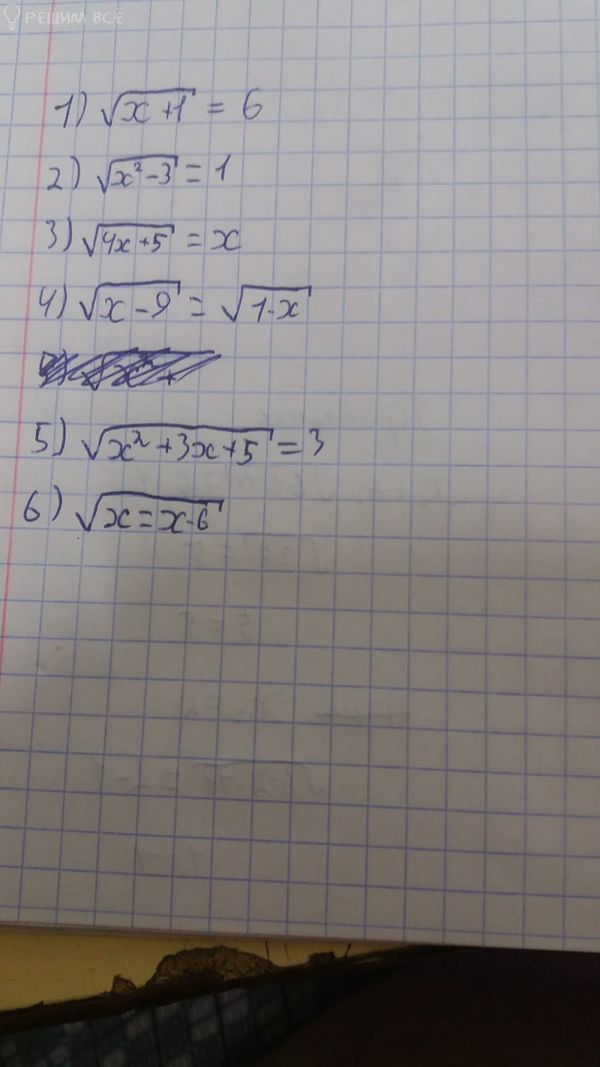
Условие

решить иррациональные уравнения ОБЯЗАТЕЛЬНО С РЕШЕНИЕМ И ПРОВЕРКОЙ

математика колледж 226

Решение

1)
[m]\sqrt{x+1}=6[/m]

Возводим в квадрат

[m](\sqrt{x+1})^2=6^2[/m]

[m]x+1=36[/m]

[m]x=36-1[/m]

[m]x=35[/m]

Проверка:

[m]\sqrt{35+1}=6[/m] ⇒ [m]\sqrt{36}=6[/m] - верно

О т в е т. [m]x=35[/m]

2)
[m]\sqrt{x^2-3}=1[/m]

Возводим в квадрат

[m](\sqrt{x^2-3})^2=1^2[/m]

[m]x^2-3=1[/m]

[m]x^2=1+3[/m]

[m]x^2=4[/m]

[m]x= ± 2[/m]

Проверка:

x=-2

[m]\sqrt{(-2)^2-3}=1[/m] ⇒ [m]\sqrt{1}=1[/m] - верно

x=-2

[m]\sqrt{2^2-3}=1[/m] ⇒ [m]\sqrt{1}=1[/m] - верно

О т в е т. [m]x=-2[/m]; [m]x=2[/m]


3)

[m]\sqrt{4x+5}=x[/m]

Возводим в квадрат

[m](\sqrt{4x+5})^2=x^2[/m]

[m]4x+5=x^2[/m]

[m]x^2-4x-5=0[/m]

D=(-4)^2-4*(-5)=16+20=36=6^2

[m]x_{1}=\frac{4-6}{2}[/m]; [m]x_{2}=\frac{4+6}{2}[/m].

[m]x_{1}=-1[/m]; [m]x_{2}=5[/m].

Проверка:

x=-1

[m]\sqrt{4\cdot (-1)+5}=-1[/m] ⇒ [m]\sqrt{1}=-1[/m] - неверно ⇒ [m]x_{1}=-1[/m] -[red] посторонний
[/red] ( лишний) корень. Это корень квадратного уравнения, но не корень данного уравнения

x=5

[m]\sqrt{4\cdot 5+5}=5[/m] ⇒ [m]\sqrt{25}=5[/m] - верно

О т в е т [m]x=5[/m]

4)
[m]\sqrt{x-9}=\sqrt{1-x}[/m]

Возводим в квадрат

[m](\sqrt{x-9})^2=(\sqrt{1-x})^2[/m]

[m]x-9=1-x[/m]

[m]x+x=1+9[/m]

[m]2x=10[/m]

[m]x=5[/m]

Проверка:
[m]\sqrt{5-9}=\sqrt{1-5}[/m] - неверно, так как [m]\sqrt{-4}[/m] не существует

О т в е т. уравнение не имеет корней

Написать комментарий

Меню

Присоединяйся в ВК