Задать свой вопрос
*более 50 000 пользователей получили ответ на «Решим всё»
Задача 64750
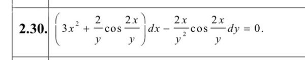
1.30. y' + xy = (x - 1) e^x y^2 2.30....
Условие
6289ea266653d96aeebf61dd
22.05.2022 10:48:11
1.30. y' + xy = (x - 1) e^x y^2
2.30. ..
3.30. y'' = arctg x
математика ВУЗ
253
Решение
5f3ea7e3faf909182968ddd9
22.05.2022 13:48:49
★
Написать комментарий
Меню
Решим всё
Найти задачу
Категории
Статьи
Тесты
Архив задач
Присоединяйся в ВК