Задать свой вопрос   *более 50 000 пользователей получили ответ на «Решим всё»

Задача 64476 Найти производные функций. a) y = x -...

Условие

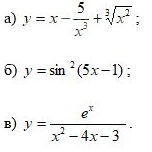
Найти производные функций.

a) y = x - 5/x^3 + sqrt[3]{x^2};
b) y = sin^2(5x-1);
B) y = e^x/x^2 - 4x - 3.

математика колледж 321

Решение

а) y = x - 5/x^3 + ∛(x^2) = x - 5x^(-3) + x^(2/3)
y' = 1 - 5(-3)x^(-4) + 2/3*x^(-1/3) = 1 + 15/x^4 + 2/(3∛x)
Применил формулу: (x^(n))' = n*x^(n-1)
б) y = sin^2 (5x-1)
y' = 2sin(5x-1)*cos(5x-1)*5 = 5sin(10x-2)
Применил правило дифференцирования сложных функций.
И формулу синуса двойного угла
в) [m]y=\frac{e^x}{x^2-4x-3}[/m]
[m]y' = \frac{e^x*(x^2-4x-3) - e^x*(2x-4)}{(x^2-4x-3)^2}=\frac{e^x*(x^2-4x-3-2x+4)}{(x^2-4x-3)^2}=\frac{e^x*(x^2-6x+1)}{(x^2-4x-3)^2}[/m]
Применил формулу производной от дроби.

Написать комментарий

Меню

Присоединяйся в ВК