Задать свой вопрос   *более 50 000 пользователей получили ответ на «Решим всё»

Задача 64198 ...

Условие

Нужно найти неопределенный интеграл.

∫ (x - 3) / sqrt(2x^2 - 4x - 1) dx

математика ВУЗ 180

Решение

Выделяем полный квадрат:

2x^2-4x-1=2(x^2-2x-(1/2))=2*((x-1)^2-3/2)

Замена переменной:

(x-1)=t
x=t+1
dx=dt


[m] ∫ \frac{x-3}{\sqrt{2x^2-4x-1}}dx= \frac{1}{\sqrt{2}}∫ \frac{x-3}{\sqrt{(x-1)^2-\frac{3}{2}}}dx=\frac{1}{\sqrt{2}}∫ \frac{t+1-3}{\sqrt{t^2-\frac{3}{2}}}dt=\frac{1}{\sqrt{2}}∫ \frac{t}{\sqrt{t^2-\frac{3}{2}}}dt-\frac{2}{\sqrt{2}}∫ \frac{1}{\sqrt{t^2-\frac{3}{2}}}dt=[/m]

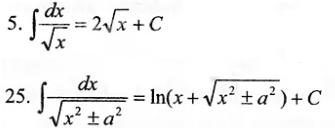
Два табличных интеграла ( см скрин)



[m]=\frac{1}{\sqrt{2}}\sqrt{t^2-\frac{3}{2}}-\frac{2}{\sqrt{2}}ln|t+\sqrt{t^2-\frac{3}{2}}|+C=[/m]

Обратный переход:

[m]=\frac{1}{\sqrt{2}}\sqrt{x^2-2x-\frac{1}{2}}-\frac{2}{\sqrt{2}}ln|x-1+\sqrt{x^2-2x-\frac{1}{2}}|+C[/m]

Написать комментарий

Меню

Присоединяйся в ВК