Задать свой вопрос
*более 50 000 пользователей получили ответ на «Решим всё»
Задача 63678
...
Условие
621666e7973fa05bc6887054
17.03.2022 12:07:17
[red]контрольная работа[/red]
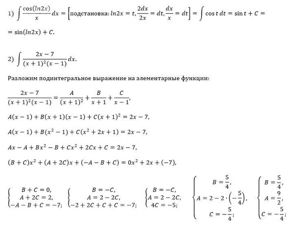
1. ∫ cos(ln2x)/x dx
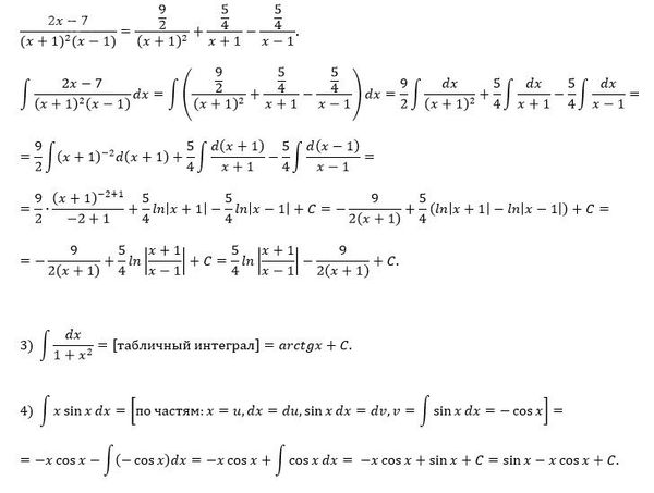
2.
3. ∫ dx/(1+x^2)
4. ∫ xsinx
математика ВУЗ
171
Решение
5f3eaa23faf909182968dde0
17.03.2022 17:01:13
★
Написать комментарий
Меню
Решим всё
Найти задачу
Категории
Статьи
Тесты
Архив задач
Присоединяйся в ВК