Задать свой вопрос
*более 50 000 пользователей получили ответ на «Решим всё»
Задача 63664
...
Условие
6204aaca0939d027669c90d0
16.03.2022 14:42:07
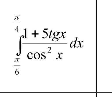
3. Вычисление определённых интегралов
∫ (1 + 5tgx)/cos²x dx от π/4 до π/6
математика колледж
164
Решение
5f3eaa23faf909182968dde0
16.03.2022 15:42:49
★
Написать комментарий
Меню
Решим всё
Найти задачу
Категории
Статьи
Тесты
Архив задач
Присоединяйся в ВК