Задать свой вопрос   *более 50 000 пользователей получили ответ на «Решим всё»

Задача 63615 ...

Условие

Найти пределы

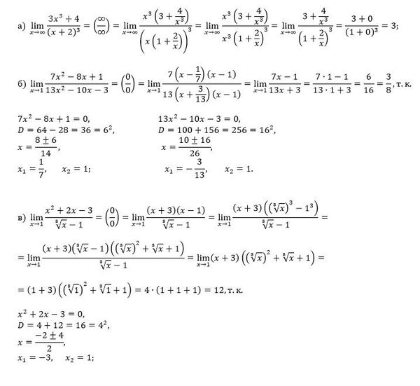
a) lim (x → ∞) (3x^3 + 4) / (x + 2)^3
b) lim (x → 1) (x^2 + 2x - 3) / √(x - 1)
d) lim (x → ∞) (x^2 + 3)^2 / (x^2 + 1)

b) lim (x → 1) (7x^2 - 8x + 1) / (13x^2 - 10x - 3)
r) lim (x → 1) sin(x - 1) / (x^2 - 1)

математика ВУЗ 310

Решение

Написать комментарий

Меню

Присоединяйся в ВК