2) log_(3-4x^2)(9-16x^4)=2 + 1/log_2(3-4x^2).
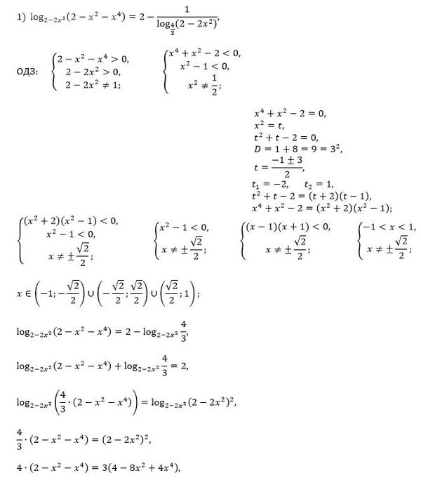
[m]\left\{\begin {matrix}(2-x^2-x^4)>0\\2-2x^2>0\\2-2x^2 ≠ 1\end {matrix}\right.[/m] ⇒ [m]\left\{\begin {matrix}x^4+x^2-2 <0\\x^2-1<0\\2x^2 ≠ 1\end {matrix}\right.[/m] ⇒
x^4+x^2-2=0
D=1-4*(-2)=9
[m]x^2=-2; x^2=1[/m] значит [m]x^4+x^2-2=(x^2+2)(x^2-1)[/m]
[m]\left\{\begin {matrix}(x^2-1)(x^2+2) <0\\x^2-1<0\\2x^2 ≠ 1\end {matrix}\right.[/m]
[m]x^2+2 >0[/m] при любых х
[m]\left\{\begin {matrix}x^2-1<0\\x ≠ ±\frac{\sqrt{2}}{2} \end {matrix}\right.[/m]
ОДЗ: [m]x ∈ (-1; -\frac{\sqrt{2}}{2})\cup(-\frac{\sqrt{2}}{2}; \frac{\sqrt{2}}{2})\cup(\frac{\sqrt{2}}{2};1)[/m]
По формуле перехода к другому основанию:
[m]\frac{1}{log_{\frac{4}{3}}(2-2x^2)}=log_{2-2x^2}\frac{4}{3}[/m]
Уравнение принимает вид:
[m]log_{2-2x^2}(2-x^2-x^4)=2-log_{2-2x^2}\frac{4}{3}[/m]
[m]log_{2-2x^2}(2-x^2-x^4)=2\cdot log_{2-2x^2}(2-2x^2)-log_{2-2x^2}\frac{4}{3}[/m]
[m]log_{2-2x^2}(2-x^2-x^4)= log_{2-2x^2}(2-2x^2)^2-log_{2-2x^2}\frac{4}{3}[/m]
[m]log_{2-2x^2}(2-x^2-x^4)= log_{2-2x^2}\frac{3(2-2x^2)^2}{4}[/m]
[m](2-x^2-x^4)=\frac{3(2-2x^2)^2}{4}[/m]
[m]4(2-x^2-x^4)=3(4-8x^2+4x^4)[/m]
[m] 8-4x^2-4x^4=12-24x^2+12x^4[/m]
[m]16x^4-20x^2+4=0[/m] - биквадратное уравнение
D=400-256=144
[m]x^2=\frac{20-12}{32}[/m] или[m] x^2=\frac{20+12}{32}[/m]
[m]x^2=\frac{1}{4}[/m] или[m] x^2=1[/m]
[m]x_{1,2}= ± \frac{1}{2}[/m] или[m] x_{3,4}= ± 1[/m] - не удовл . ОДЗ
О т в е т. [m] ± \frac{1}{2}[/m]
2.
ОДЗ:
[m]\left\{\begin {matrix}(9-16x^4)>0\\3-4x^2>0\\3-4x^2 ≠ 1\end {matrix}\right.[/m] ⇒ [m]\left\{\begin {matrix}16x^4-9 <0\\4x^2-3<0\\4x^2 ≠ 2\end {matrix}\right.[/m] ⇒ [m]\left\{\begin {matrix}(4x^2-3)(4x^2+3) <0\\4x^2-3<0\\x^2 ≠\frac{1}{2}\end {matrix}\right.[/m]
[m]4x^2+3 >0[/m] при любых х
[m]\left\{\begin {matrix}4x^2-3<0\\x ≠ ±\frac{\sqrt{2}}{2} \end {matrix}\right.[/m]⇒[m]\left\{\begin {matrix}(2x-\sqrt{3})(2x+\sqrt{3})<0\\x ≠ ±\frac{\sqrt{2}}{2} \end {matrix}\right.[/m]
ОДЗ: [m]x ∈ ( -\frac{\sqrt{3}}{2};-\frac{\sqrt{2}}{2})\cup(-\frac{\sqrt{2}}{2}; \frac{\sqrt{2}}{2})\cup(\frac{\sqrt{2}}{2};\frac{\sqrt{3}}{2})[/m]
По формуле перехода к другому основанию:
[m]\frac{1}{log_{2}(3-4x^2)}=log_{3-4x^2}2[/m]
Уравнение принимает вид:
[m]log_{3-4x^2}(9-16x^4)=2+log_{3-4x^2}2[/m]
[m]log_{3-4x^2}(9-16x^4)=2\cdot log_{3-4x^2}+log_{3-4x^2}2[/m]
[m]log_{3-4x^2}(9-16x^4)= log_{3-4x^2}(3-4x^2)^2+log_{3-4x^2}2[/m]
[m]log_{3-4x^2}(9-16x^4)=log_{3-4x^2}2\cdot (3-4x^2)^2[/m]
[m](9-16x^4)=2\cdot (3-4x^2)^2[/m]
[m]9-16x^4=2\cdot (9-24x^2+16x^4)[/m]
[m] 9-16x^4=18-48x^2+32x^4[/m]
[m]48x^4-48x^2+9=0[/m] - биквадратное уравнение
D=(-48)^2-4*48*9=48(48-36)=48*12=16*3*3*4
sqrt(D)=4*3*2=24
[m]x^2=\frac{48-24}{96}[/m] или[m] x^2=\frac{48+24}{36}[/m]
[m]x^2=\frac{1}{4}[/m] или[m] x^2=2[/m]
[m]x_{1,2}= ± \frac{1}{2}[/m] или[m] x_{3,4}= ± \sqrt{2}[/m] - не удовл . ОДЗ
О т в е т. [m] ± \frac{1}{2}[/m]


