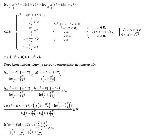
[red]ОДЗ:[/red]
[m]\left\{\begin {matrix}1-\frac{x^2}{17} >0\\1-\frac{x^2}{17} ≠1\\ 1+\frac{x^2}{17} >0\\1+\frac{x^2}{17} ≠ 1\end {matrix}\right.[/m]
[m]\left\{\begin {matrix}\frac{x^2}{17} <1\\-\frac{x^2}{17} ≠0\\ x ∈ (- ∞;+ ∞) \\\frac{x^2}{17} ≠ 0\end {matrix}\right.[/m] ⇒
[red][m]x ∈ (-\sqrt{17};0) \cup(0:\sqrt{17})[/m][/red]
Переходим к одному основанию:
[m]\frac{lg(x^2-8|x|+17)}{lg(1-\frac{x^2}{17})} ≥ \frac{lg(x^2-8|x|+17)}{lg(1+\frac{x^2}{17})} [/m]
Сравниваем с 0:
[m]\frac{lg(x^2-8|x|+17)}{lg(1-\frac{x^2}{17})} - \frac{lg(x^2-8|x|+17)}{lg(1+\frac{x^2}{17})} ≥ 0 [/m]
Раскладываем на множители:
[m]lg(x^2-8|x|+17)\cdot (\frac{1}{lg(1-\frac{x^2}{17})} - \frac{1}{lg(1+\frac{x^2}{17})} )≥ 0 [/m]
[m]lg(x^2-8|x|+17)\cdot (\frac{lg(1+\frac{x^2}{17})-lg(1-\frac{x^2}{17})}{lg(1-\frac{x^2}{17})\cdot lg(1+\frac{x^2}{17})} )≥ 0 [/m]
Применяем ОБОБЩЕННЫЙ [i]метод интервалов[/i]:
Находим нули функции :
[m]lg(x^2-8|x|+17)=0[/m] ⇒ [m]x^2-8|x|+17=1[/m]⇒ [m]x^2-8|x|+16=0[/m]⇒ [m](|x|-4)^2=0[/m] ⇒ [m]x= ± 4[/m]
[m]lg(1+\frac{x^2}{17})-lg(1-\frac{x^2}{17})=0[/m] ⇒ [m]lg(1+\frac{x^2}{17})=lg(1-\frac{x^2}{17})[/m] ⇒ [m]1+\frac{x^2}{17}=1-\frac{x^2}{17}[/m] ⇒ [m]2\frac{x^2}{17}=0[/m] ⇒ [m]x=0[/m]
Находим нули знаменателя:
[m]lg(1-\frac{x^2}{17})\cdot lg(1+\frac{x^2}{17})=0 [/m]⇒ [m]1-\frac{x^2}{17}=0[/m] или [m]1+\frac{x^2}{17}=0[/m]
⇒ [m]x=0[/m]
Отмечаем нули функции закрашенным кружком ( я рисую квадратные скобки)
нули знаменателя не закрашенным кружком ( я рисую круглые скобки)
И расставляем с знаки:
[m]lg(1+\frac{x^2}{17})>lg1=0[/m] ; [m]lg(1-\frac{x^2}{17})<lg1=0[/m]
[m]lg(x^2-8|x|+17)>lg1=0[/m] (см. график y=x^2-8|x|+17 на рис. )
_____-___ [-4] ___-_____ (0) _____-____ [4] _______-______
С учетом ОДЗ получаем ответ
x= ± 4
