Задать свой вопрос
*более 50 000 пользователей получили ответ на «Решим всё»
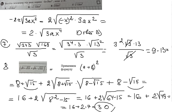
Задача 63241
Алгебра 8 клас...
Условие
61f121929726a16dff0f8e8e
18.02.2022 17:08:44
Алгебра 8 клас
математика 8-9 класс
331
Решение
5f3ea7e3faf909182968ddd9
18.02.2022 18:13:22
★
Написать комментарий
Меню
Решим всё
Найти задачу
Категории
Статьи
Тесты
Архив задач
Присоединяйся в ВК