Задать свой вопрос
*более 50 000 пользователей получили ответ на «Решим всё»
Задача 63222
...
Условие
620c82a26fa8ba312acee34e
16.02.2022 08:04:49
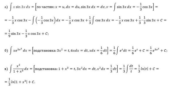
Вычислить неопределенные интегралы.
a) ∫ x sin 3x dx;
b) ∫ x e^(3x^2) dx;
в) ∫ x^2 / (1 + x^3) dx.
математика колледж
274
Решение
5f3eaa23faf909182968dde0
16.02.2022 21:33:32
★
Написать комментарий
Меню
Решим всё
Найти задачу
Категории
Статьи
Тесты
Архив задач
Присоединяйся в ВК