Задать свой вопрос   *более 50 000 пользователей получили ответ на «Решим всё»

Задача 62908 Вычислите пределы функции, подробно...

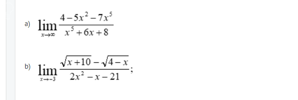
Условие

Вычислите пределы функции, подробно описывая ход решения (указывайте формулы, которыми пользуетесь, записывайте промежуточные результаты):

математика колледж 753

Решение

a)
[m]\lim_{x \to \infty }\frac{4-5x^2-7x^5}{x^5+6x+8}=[/m]
Неопределенность ( ∞ / ∞ )

Выносим за скобки [m]x^5[/m]:

[m]=\lim_{ \to \infty }\frac{x^5\cdot (\frac{4}{x^5}-\frac{5}{x^3}-7)}{x^5\cdot (1+\frac{6}{x^4}+\frac{8}{x^5})}=[/m]

Сокращаем на x^5

[m]=\lim_{ \to \infty }\frac{\frac{4}{x^5}-\frac{5}{x^3}-7}{1+\frac{6}{x^4}+\frac{8}{x^5}}=[/m]

[m]=\frac{ 0-0-7}{1+0+0}=-7[/m]


б)

[m]\lim_{x \to -3}\frac{\sqrt{x+10}-\sqrt{4-x}}{2x^2-x-21}=\frac{\sqrt{-3+10}-\sqrt{4-(-3)}}{2\cdot 9-(-3)-21}=\frac{0}{0}[/m]

Неопределенность

Знаменатель раскладываем на множители:

[m]2x^2-x-21=(x+3)(2x-7)[/m]

Умножаем и числитель и знаменатель на выражение
[m]\sqrt{x+10}+\sqrt{4-x}[/m]


Получаем:

[m]=\lim_{x \to- 3}\frac{(\sqrt{x+10}-\sqrt{4-x})(\sqrt{x+10}+\sqrt{4-x})}{(x+3)(2x-7)(\sqrt{x+10}+\sqrt{4-x})}=[/m]

Применяем формулу разности квадратов a^2-b^2=(a-b)*(a+b)


[m]\lim_{x \to -3}\frac{(\sqrt{x+10})^2-(\sqrt{4-x})^2}{(x+3)(2x-7)(\sqrt{x+10}+\sqrt{4-x})}=\lim_{x \to-3}\frac {x+10-(4-x)}{(x+3)(2x+7)(\sqrt{x+10}+\sqrt{4-x})}=[/m]

[m]=\lim_{x \to -3}\frac {x+10-4+x}{(x+3)(2x-7)(\sqrt{x+10}+\sqrt{4-x})}=\lim_{x \to -3}\frac {2(x+3))}{(x+3)(2x-7)(\sqrt{x+10}+\sqrt{4-x})}[/m]

Сокращаем (на (x+3))

[m]=\lim_{x \to -3}\frac {2}{(2x-7)(\sqrt{x+10}+\sqrt{4-x})}=\frac{2}{(2\cdot (-3)-7)\cdot( \sqrt{-3+10}+\sqrt{4-(-3)})}=\frac{1}{(-13)\sqrt{7}}[/m]

Написать комментарий

Меню

Присоединяйся в ВК