Задать свой вопрос   *более 50 000 пользователей получили ответ на «Решим всё»

Задача 62666 Аналитическая планиметрия, 7 вопросов -...

Условие

Аналитическая планиметрия, 7 вопросов - 300 баллов
Очень надо

математика колледж 267

Решение

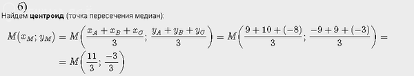
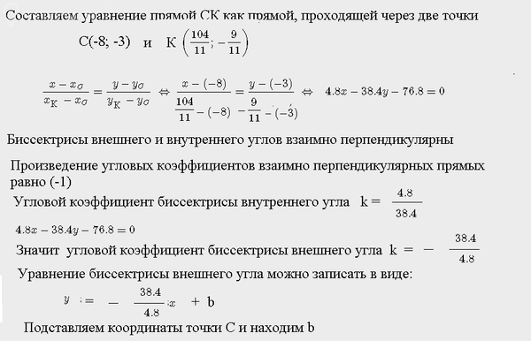
1.
[m]\vec{AB}=(10-9;9-(-9))=(1;18)[/m]

[m]\vec{BC}=(-8-10;-3-9)=(-18;-12)[/m]

Векторы не коллинеарны, значит три точки А,В,С не лежат на одной прямой и образуют треугольник


Написать комментарий

Меню

Присоединяйся в ВК