Задать свой вопрос   *более 50 000 пользователей получили ответ на «Решим всё»

Задача 62455 1) Какую из данных пробей нельзя...

Условие

1) Какую из данных пробей нельзя представить в виде конечной десятичной дроби?

2. Выразите переменную а через переменную в в выражении:
5a + 3b / 4 = 3

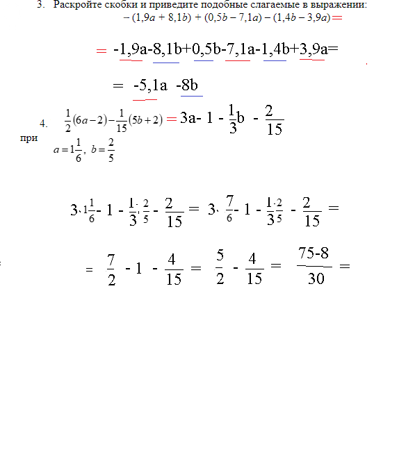
3. Раскройте скобки и приведите подобные слагаемые в выражении:

4. Выпростите выражение и найдите его значение при

математика 6-7 класс 294

Решение

Написать комментарий

Меню

Присоединяйся в ВК