Задать свой вопрос
*более 50 000 пользователей получили ответ на «Решим всё»
Задача 62439
...
Условие
5ffe0876960c3c35933dca28
27.12.2021 00:24:13
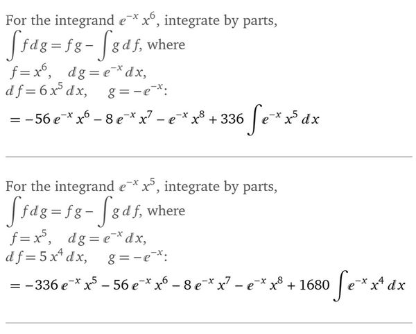
Вычислить интеграл
∫ x^8 e^(-x) dx
математика ВУЗ
314
Решение
5f282cfba9074b3a3bc0f013
27.12.2021 00:43:08
★
Написать комментарий
Меню
Решим всё
Найти задачу
Категории
Статьи
Тесты
Архив задач
Присоединяйся в ВК