Задать свой вопрос
*более 50 000 пользователей получили ответ на «Решим всё»
Задача 62192
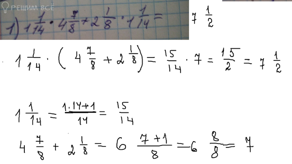
Нужно прото решить і росписать...
Условие
61ba065b5898954a04eb2d0a
15.12.2021 18:20:05
Нужно прото решить і росписать
математика 6-7 класс
225
Решение
5f3ea7e3faf909182968ddd9
15.12.2021 18:35:22
★
Написать комментарий
Меню
Решим всё
Найти задачу
Категории
Статьи
Тесты
Архив задач
Присоединяйся в ВК