Задать свой вопрос
*более 50 000 пользователей получили ответ на «Решим всё»
Задача 62014
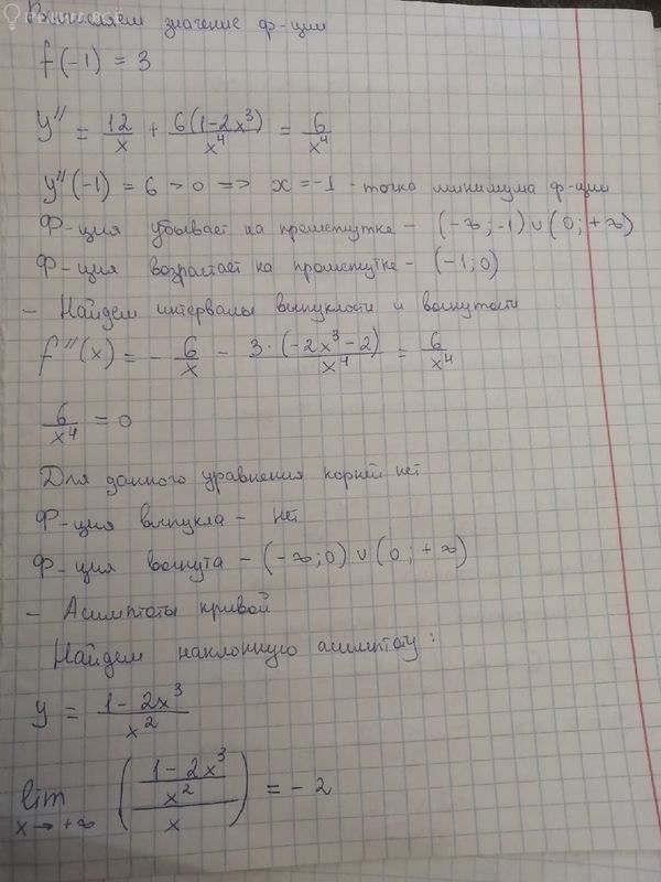
Провести полное исследование функции и...
Условие
61acdb4431be1432af09f98e
07.12.2021 06:35:46
Провести полное исследование функции и построить ее график
математика ВУЗ
223
Решение
61a0e89400f9a26182e45627
07.12.2021 12:31:27
★
Написать комментарий
Меню
Решим всё
Найти задачу
Категории
Статьи
Тесты
Архив задач
Присоединяйся в ВК