Задать свой вопрос   *более 50 000 пользователей получили ответ на «Решим всё»

Задача 61966 ...

Условие

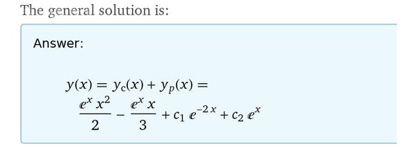
Найдите общее решение линейного дифференциального уравнения второго
порядка с постоянными коэффициентами: y ′′ + y′ − 2y = 3xe^x

математика ВУЗ 259

Решение

Написать комментарий

Меню

Присоединяйся в ВК