Задать свой вопрос
*более 50 000 пользователей получили ответ на «Решим всё»
Задача 61938
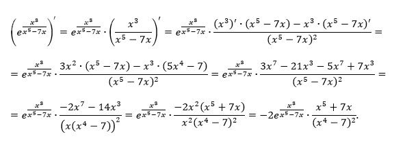
((e((x)/(x^5)-7x))' =...
Условие
6199307961f33d1ee9974733
03.12.2021 08:40:27
((e((x)/(x^5)-7x))' =
математика ВУЗ
189
Решение
5f3eaa23faf909182968dde0
03.12.2021 09:02:27
★
Написать комментарий
Меню
Решим всё
Найти задачу
Категории
Статьи
Тесты
Архив задач
Присоединяйся в ВК