Задать свой вопрос
*более 50 000 пользователей получили ответ на «Решим всё»
Задача 61887
...
Условие
61a5f1d0c77852212d164fb0
30.11.2021 12:53:39
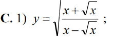
Найти производные первого порядка данной функции
y = √(x + √x) / (x - √x);
математика ВУЗ
332
Решение
5f3ea7e3faf909182968ddd9
30.11.2021 14:15:19
★
Написать комментарий
Меню
Решим всё
Найти задачу
Категории
Статьи
Тесты
Архив задач
Присоединяйся в ВК