Задать свой вопрос
*более 50 000 пользователей получили ответ на «Решим всё»
Задача 61816
...
Условие
619ab17e8ad52070a870b49c
25.11.2021 23:54:26
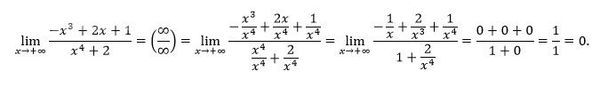
lim (-x^3 + 2x + 1)/(x^4 + 2)
x→+∞
математика колледж
243
Решение
5f3eaa23faf909182968dde0
26.11.2021 07:08:08
★
Написать комментарий
Меню
Решим всё
Найти задачу
Категории
Статьи
Тесты
Архив задач
Присоединяйся в ВК