Задать свой вопрос
*более 50 000 пользователей получили ответ на «Решим всё»
Задача 61815
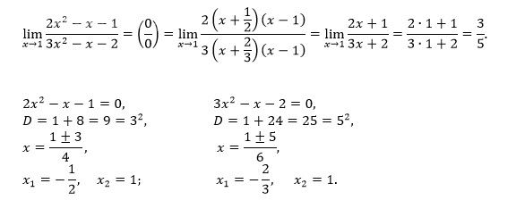
lim (2x^2 - x - 1) / (3x^2 - x - 2) x->1...
Условие
619ab17e8ad52070a870b49c
25.11.2021 23:51:43
lim (2x^2 - x - 1) / (3x^2 - x - 2)
x->1
математика колледж
243
Решение
5f3eaa23faf909182968dde0
26.11.2021 07:21:41
★
Написать комментарий
Меню
Решим всё
Найти задачу
Категории
Статьи
Тесты
Архив задач
Присоединяйся в ВК