Задать свой вопрос   *более 50 000 пользователей получили ответ на «Решим всё»

Задача 61654 ...

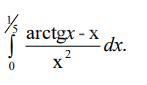
Условие

Вычислить определенный интеграл с точностью α = 0,001 , представив подынтегральную функцию в виде степенного ряда

математика 315

Решение

[m] ∫_{0} ^{\frac{1}{5}}(\frac{x-\frac{x^3}{3}+\frac{x^5}{5}...-x}{x^2}dx ≈ ∫_{0} ^{\frac{1}{5}} (-\frac{1}{3}x+\frac{x^3}{5})dx ≈ (-\frac{x^2}{6}+\frac{x^4}{20})|_{0} ^{\frac{1}{5}}=-\frac{1}{6\cdot 5^2}+\frac{1}{625\cdot 20}[/m]


так как [m] \frac{1}{625\cdot 20}< \frac{1}{1000}[/m] это слагаемое можно отбросить.

Поэтому
[m] ∫_{0} ^{\frac{1}{5}}(\frac{x-\frac{x^3}{3}-x}{x^2}dx ≈ ∫_{0} ^{\frac{1}{5}} (-\frac{1}{3}x)dx ≈ (-\frac{x^2}{6})|_{0} ^{\frac{1}{5}}=-\frac{1}{6\cdot 25}=-\frac{1}{150}[/m]

Написать комментарий

Меню

Присоединяйся в ВК