Задать свой вопрос   *более 50 000 пользователей получили ответ на «Решим всё»

Задача 61501 ...

Условие

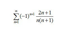
Исследовать на сходимость ряд.

Σ (-1)^(n+1) (2n+1) / (n(n+1))
n=1 to ∞

математика 212

Решение

Знакочередующийся ряд сходится по признаку Лейбница

lim_(n → ∞)|a_(n)|=0

Последовательность [m] (a_{n})^{ ∞ }_{n=1}[/m]монотонно убывает, для этого рассматриваем функцию

f(x)=(2x+1)/(x(x+1))

и находим производную

f`(x)=(2*x*(x+1)-(2x+1)*(2x+1))/(x^2*(x+1)^2) <0


Ряд из модулей расходится по признаку сравнения с гармоническим рядом.

∑ |a_(n)| сравним с гармоническим рядом ∑ 2/n

a_(n)=(2n+1)/(n(n+1)) ∼ 2/n

lim_(n → ∞ )a_(n)/b_(n)=1

О т в е т. Данный ряд сходится условно

Написать комментарий

Меню

Присоединяйся в ВК