Задать свой вопрос
*более 50 000 пользователей получили ответ на «Решим всё»
Задача 61423
Завдання 2 будь ласка потрібно срочно))...
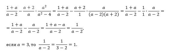
Условие
6189786e327e2d0f77de1902
08.11.2021 22:21:18
Завдання 2 будь ласка потрібно срочно))
математика 8-9 класс
220
Решение
5f3eaa23faf909182968dde0
09.11.2021 06:12:49
★
Написать комментарий
Меню
Решим всё
Найти задачу
Категории
Статьи
Тесты
Архив задач
Присоединяйся в ВК