Задать свой вопрос   *более 50 000 пользователей получили ответ на «Решим всё»

Задача 61418 ...

Условие

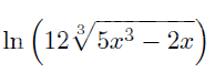
Найти f'(x) от f(x)=смотреть фото.

ln (12∛5x^3 - 2x)

математика ВУЗ 314

Решение

[m]ln12\cdot \sqrt[3]{5x^3-2x}=ln12+ln \sqrt[3]{5x^3-2x}=ln12 +ln (5x^3-2x)^{\frac{1}{3}}=ln12+\frac{1}{3}ln(5x^3-2x)[/m]

(ln12)`=0

[m](lnu)`=\frac{1}{u}\cdot u`[/m]

[m](ln12+\frac{1}{3}ln(5x^3-2x))=(ln12)`+\frac{1}{3}(ln(5x^3-2x))`=0+\frac{1}{3}\cdot \frac{1}{5x^3-2x}\cdot (5x^3-2x)`=\frac{1}{3}\cdot \frac{1}{5x^3-2x}\cdot (15x^2-2)=\frac{15x^2-2}{3\cdot (5x^3-2x)}[/m]

Написать комментарий

Меню

Присоединяйся в ВК