Задать свой вопрос
*более 50 000 пользователей получили ответ на «Решим всё»
Задача 61303
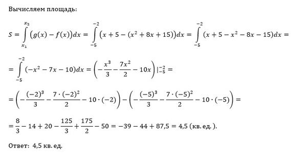
Вычислить площадь фигуры, граниченной...
Условие
6181c4e03d5d7c0560db1114
03.11.2021 02:50:22
Вычислить площадь фигуры, граниченной указанными линиями. Сделать чертеж
y=x2+8x+15, y=x+5
математика колледж
899
Решение
5f3eaa23faf909182968dde0
03.11.2021 07:39:12
★
Написать комментарий
Меню
Решим всё
Найти задачу
Категории
Статьи
Тесты
Архив задач
Присоединяйся в ВК