Задать свой вопрос   *более 50 000 пользователей получили ответ на «Решим всё»

Задача 61163 2. ((m/(mn - n^2) - 1/(m - n)) : n/(n -...

Условие

2. ((m/(mn - n^2) - 1/(m - n)) : n/(n - m))

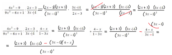
3. (4x^2 - 9)/(9x^2 - 6x + 1) : (2x - 3)/(3x + 1) + (4 - x)/(1 - 3x)

математика 8-9 класс 352

Решение

Написать комментарий

Меню

Присоединяйся в ВК