Задать свой вопрос   *более 50 000 пользователей получили ответ на «Решим всё»

Задача 61126 3) Построить графики функций f(x) и...

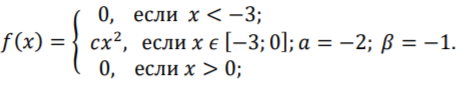
Условие

3) Построить графики функций f(x) и F(x)

математика ВУЗ 215

Решение

Так как по свойству плотности:
[m]∫ ^{∞}_{- ∞} f(x)dx=1[/m]

Так как функция f(x) задана на трех промежутках, то

[m]∫ ^{+ ∞ }_{- ∞}f(x)dx=∫ ^{-3 }_{- ∞}0dx+∫ ^{0 }_{-3}сx^2dx+∫ ^{+ ∞ }_{0}0dx[/m]

[m]0+c\cdot \frac{x^{3}}{3}| ^{0 }_{-3}+0=1[/m]

[m]9c=1[/m]

[m]c=\frac{1}{9}[/m]



По определению:

[m]F(x)= ∫ ^{x}_{- ∞ }f(x)dx[/m]

[b]При x ≤-3[/b]

[m]F(x)= ∫ ^{x}_{- ∞ }0dx=0[/m]

[b]При -3 < x ≤ 0[/b]

[m]F(x)= ∫ ^{x}_{- ∞ }f(x)dx=∫ ^{-3}_{- ∞ }0dx+∫ ^{x}_{-3}\frac{1}{9}x^2dx=\frac{1}{9}(\frac{x^3}{3})|^{x}_{-3}=\frac{x^3}{27}+1[/m]

[b]При x >0[/b]

[m]F(x)= ∫ ^{x}_{- ∞ }f(x)dx=1[/m]

Получаем:

[m]F(x)\left\{\begin {matrix}0, x ≤-3\\\frac{x^3}{27}+1, -3 <x ≤ 0\\1, x >0 \end {matrix}\right.[/m]

Написать комментарий

Меню

Присоединяйся в ВК