Задать свой вопрос
*более 50 000 пользователей получили ответ на «Решим всё»
Задача 60907
Составить уравнение касательной и...
Условие
5f722a455e684a139991dda8
03.10.2021 23:09:14
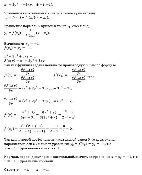
Составить уравнение касательной и нормали к данной кривой в точке А.
(x)^3+2y^3=-3xy A(-1;-1)
математика колледж
230
Решение
5f3eaa23faf909182968dde0
04.10.2021 09:23:45
★
Написать комментарий
Меню
Решим всё
Найти задачу
Категории
Статьи
Тесты
Архив задач
Присоединяйся в ВК