Задать свой вопрос
*более 50 000 пользователей получили ответ на «Решим всё»
Задача 60646
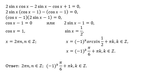
2sin x cos x - 2 sin x -cos x + 1=0...
Условие
6134d4a0bdb7e738ec380b83
05.09.2021 17:32:50
2sin x cos x - 2 sin x -cos x + 1=0
математика 10-11 класс
1133
Решение
5f3eaa23faf909182968dde0
05.09.2021 17:38:55
★
Написать комментарий
Меню
Решим всё
Найти задачу
Категории
Статьи
Тесты
Архив задач
Присоединяйся в ВК