Задать свой вопрос   *более 50 000 пользователей получили ответ на «Решим всё»

Задача 60628 заранее всем спасибо! вот ещё одно и...

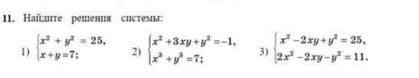
Условие

заранее всем спасибо!
вот ещё одно и все!:)

математика колледж 300

Решение

1) Первое простое. Решаем способом подстановки.

[m]\left\{\begin {matrix}x^2+y^2=25\\y=7-x\end {matrix}\right.[/m]

[m]\left\{\begin {matrix}x^2+(7-x)^2=25\\y=7-x\end {matrix}\right.[/m]

[m]\left\{\begin {matrix}x^2+49-14x+x^2=25\\y=7-x\end {matrix}\right.[/m]

[m]\left\{\begin {matrix}2x^2-14x+24=0\\y=7-x\end {matrix}\right.[/m]


Решаем первое уравнение:

2x^2-14x+24=0

Делим на 2:

x^2-7x+12=0

D=(-7)^2-4*12=49-48=1

x_(1)=3 ; x_(2)=4.

теперь подставляем во второе уравнение и находим соответствующие им игреки:

y_(1)=7-3=4; y_(2)=7-4=3

О т в е т. (3;4); (4;3)


2)
[m]\left\{\begin {matrix}x^2+3xy+y^2=-1\\x^3+y^3=7\end {matrix}\right.[/m]

Замена переменной:

[m]x+y=u[/m] ⇒ [m] (x+y)^2=u^2[/m]⇒ [m] x^2+2xy+y^2=u^2[/m]⇒ [m] x^2+y^2=u^2-2v[/m]

[m]xy=v[/m]

Тогда
[m]x^3+y^3=(x+y)(x^2-xy+y^2)=u\cdot (u^2-3v)

[m]x^2+3xy+y^2=u^2-2v+3v=u^2+v[/m]

[m]\left\{\begin {matrix}u^2+v=-1\\u\cdot (u^2-3v)=7\end {matrix}\right.[/m]

Решаем способом подстановки:

[m]\left\{\begin {matrix}v=-1-u^2\\u\cdot (u^2-3(-1-u^2))=7\end {matrix}\right.[/m]

[m]\left\{\begin {matrix}v=-1-u^2\\u\cdot (u^2-3(-1-u^2))=7\end {matrix}\right.[/m]

[m]\left\{\begin {matrix}v=-1-u^2\\4u^3+3u-7=0\end {matrix}\right.[/m]

[m]\left\{\begin {matrix}v=-1-u^2\\(u-1)(4u^2+4u+7)=0\end {matrix}\right.[/m]

[m]\left\{\begin {matrix}v=-1-u^2\\(u-1)=0\end {matrix}\right.[/m] или [m]\left\{\begin {matrix}v=-1-u^2\\(4u^2+4u+7)=0\end {matrix}\right.[/m] D=16-4*4*7 < 0 вторая система не имеет решений.

[m]\left\{\begin {matrix}v=-2\\u=1\end {matrix}\right.[/m]

Обратный переход:

[m]x+y=1[/m] ⇒ y=1-x

[m]xy=-2[/m]

[m]x(1-x)=-2[/m]⇒[m] x^2-x-2=0; x_(1)=-1; x_{2}=2[/m]

y=1-x

[m]y_{1}=1-x=1-(-1)=2; y_{2}=1-x=1-2=-1[/m]

О т в е т. (-1;2);(2;-1)


3)

Решаем способом деления . Одно уравнение оставляем без изменений. Второе заменяем частным двух данных уравнений.

[m]\left\{\begin {matrix}x^2-2xy+y^2=25\\2x^2-2xy-y^2=11\end {matrix}\right.[/m]


[m]\left\{\begin {matrix}x^2-2xy+y^2=25\\\frac{x^2-2xy+y^2}{2x^2-2xy-y^2}=\frac{25}{11}\end {matrix}\right.[/m]

Второе уравнение - пропорция. Перемножаем крайние и средние члены пропорции:

[m]\left\{\begin {matrix}x^2-2xy+y^2=25\\11(x^2-2xy+y^2)=25(2x^2-2xy-y^2)\end {matrix}\right.[/m]

[m]\left\{\begin {matrix}x^2-2xy+y^2=25\\39x^2-28xy-36y^2=0\end {matrix}\right.[/m]

Второе уравнение однородное, второй степени. Делим на y^2

[m]39t^2-28t-36=0[/m]

D=(-28)^2-4*39*(-36)=784+5616=6400

[m]t_{1}=\frac{28-80}{78}=\frac{2}{3}[/m]; [m]t_{2}=\frac{28+80}{78}=\frac{18}{13}[/m]

Обратный переход и две системы:

[m]\left\{\begin {matrix}x^2-2xy+y^2=25\\x=\frac{2}{3}y\end {matrix}\right.[/m] или [m]\left\{\begin {matrix}x^2-2xy+y^2=25\\x=\frac{18}{13}y\end {matrix}\right.[/m]

Далее способом подстановки...


...

Написать комментарий

Меню

Присоединяйся в ВК