Задать свой вопрос
*более 50 000 пользователей получили ответ на «Решим всё»
Задача 60492
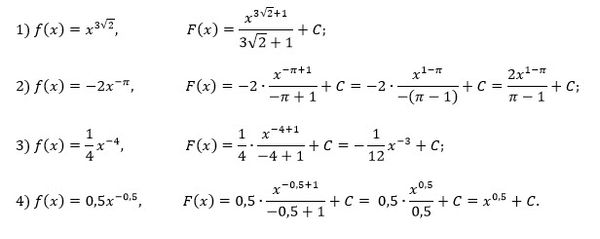
Напишите общий вид первообразных функции...
Условие
5f42a255b5ac0b3cc606fbf7
12.08.2021 19:58:09
Напишите общий вид первообразных функции
математика 10-11 класс
332
Решение
5f3eaa23faf909182968dde0
12.08.2021 20:43:54
★
Написать комментарий
Меню
Решим всё
Найти задачу
Категории
Статьи
Тесты
Архив задач
Присоединяйся в ВК