Задать свой вопрос
*более 50 000 пользователей получили ответ на «Решим всё»
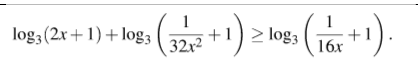
Задача 60118
Найти значение выражение (неравенство)...
Условие
6019615aac63fb2d907afa57
03.06.2021 20:54:42
Найти значение выражение (неравенство) 15 задание проф. мат. (ЕГЭ)
математика 10-11 класс
308
Решение
5f3eaa23faf909182968dde0
03.06.2021 21:50:46
★
Написать комментарий
Меню
Решим всё
Найти задачу
Категории
Статьи
Тесты
Архив задач
Присоединяйся в ВК