Задать свой вопрос
*более 50 000 пользователей получили ответ на «Решим всё»
Задача 60051
...
Условие
60b203e2a1c50e1d30437bec
01.06.2021 08:02:07
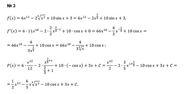
3. Найти производную и первообразную функции:
f(x) = 6x^11 - 2√x^2 + 10 Sinx + 3
математика колледж
268
Решение
5f3eaa23faf909182968dde0
01.06.2021 11:55:31
★
Написать комментарий
Меню
Решим всё
Найти задачу
Категории
Статьи
Тесты
Архив задач
Присоединяйся в ВК