Задать свой вопрос
*более 50 000 пользователей получили ответ на «Решим всё»
Задача 60018
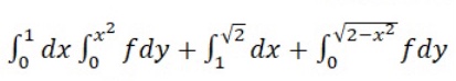
Изменить порядок интегрирования: ...
Условие
60b1ff20a1c50e1d30437be1
31.05.2021 00:26:28
Изменить порядок интегрирования:
математика ВУЗ
333
Решение
5f3ea7e3faf909182968ddd9
31.05.2021 09:53:56
★
[m]= ∫_{0} ^{1}dy ∫_{\sqrt{y}}^{\sqrt{2-y^2}}f(x;y)dx[/m]
Написать комментарий
Меню
Решим всё
Найти задачу
Категории
Статьи
Тесты
Архив задач
Присоединяйся в ВК