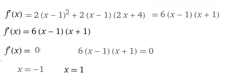
Две точки возможного экстремума: x=-1; x=1
Знак производной:
__+__(-1) __-___ (1) __+___
x=-1 точка максимума
х=1 точка минимума
f(-1)=(-1-1)^2*(-2+4)=8 - наибольшее
f(1)=(1-1)^2*4=0
f(1,5)=0,5^2*7=7/4
f(-2,5)=(-3,5)^2*(-1)=-12,25 - наименьшее 