Задать свой вопрос   *более 50 000 пользователей получили ответ на «Решим всё»

Задача 59941 Вычислите, предварительно сделав...

Условие

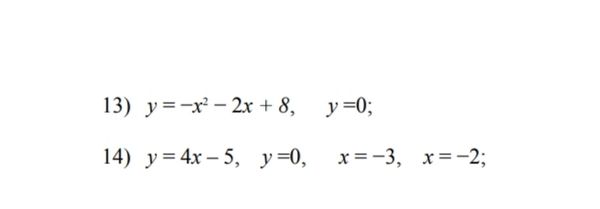
Вычислите, предварительно сделав рисунок, площадь фигуры, ограниченной линиями

математика 10-11 класс 879

Решение

13)
S= ∫_(-4) ^(2) (-x^2-2x+8)dx=((-x^3/3)-x^2+8x)|_(-4) ^(2)=-(8/3)-2^2+8*2+(-4)^3/3)+(-4^2)-2*(-4)=...

Написать комментарий

Меню

Присоединяйся в ВК