Задать свой вопрос
*более 50 000 пользователей получили ответ на «Решим всё»
Задача 59889
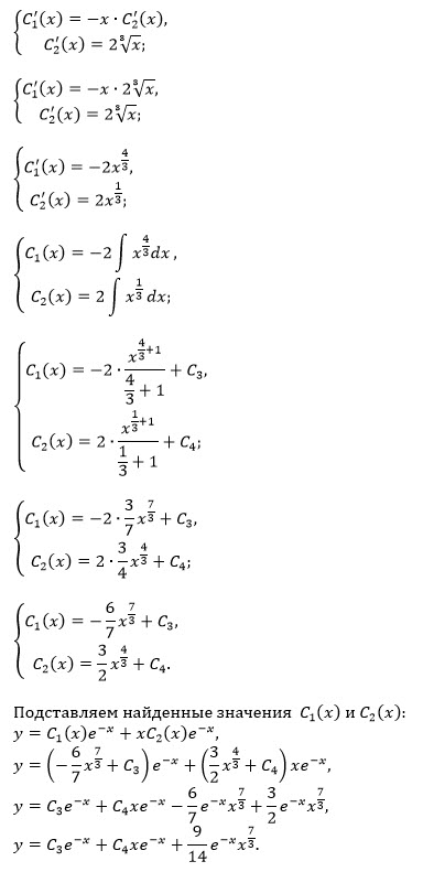
14.8 у” - у” -16у'-20у = ; »(0) =5,'(0)...
Условие
6094f1507f8df849e8a50ee1
24.05.2021 14:28:52
14.8 у” - у” -16у'-20у = ; »(0) =5,'(0) =-3,'(0) =10.. 1401y + 2y +y=2e" Ax
математика ВУЗ
252
Решение
5f3eaa23faf909182968dde0
24.05.2021 19:17:13
★
Написать комментарий
Меню
Решим всё
Найти задачу
Категории
Статьи
Тесты
Архив задач
Присоединяйся в ВК