Задать свой вопрос   *более 50 000 пользователей получили ответ на «Решим всё»

Задача 59629 Решите, если возможно, то без замены. С...

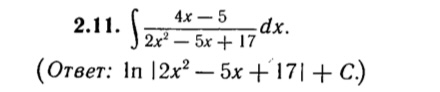
Условие

Решите, если возможно, то без замены. С подробным объяснением. У самой не выходит

математика ВУЗ 311

Решение

Это табличный интеграл вида [m] ∫ \frac{dx}{x}=ln|x|+C[/m]

Вся таблица интегралов справедлива не только для независимой переменной х, но и для сложной функции u=u(x)

Тогда этот интеграл имеет вид:

[m] ∫ \frac{du}{u}=ln|u|+C[/m]


Но в таком виде условия задач не пишут, потому что [m]du=u`(x)dx[/m]

И поэтому задание выглядит так как у Вас.

[m]u(x)=2x^2-5x+17[/m]

[m]u`(x)=4x-5[/m]


Решение в одну строчку:

[m] ∫ \frac{(4x-5)dx}{2x^2-5x+17}= ∫ \frac{d(2x^2-5x+17)}{2x^2-5x+17}=ln|2x^2-5x+17|+C[/m]

Написать комментарий

Меню

Присоединяйся в ВК