Задать свой вопрос   *более 50 000 пользователей получили ответ на «Решим всё»

Задача 59611 Найти общее решение линейного...

Условие

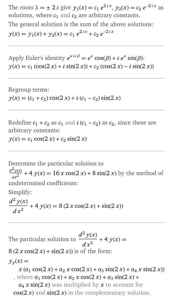
Найти общее решение линейного неоднородного дифференциального уравнения методом неопределенных коэффициентов.


у" + 4у = 16хcos2x+8sin2x

математика ВУЗ 406

Решение

Написать комментарий

Меню

Присоединяйся в ВК