Задать свой вопрос
*более 50 000 пользователей получили ответ на «Решим всё»
Задача 59520
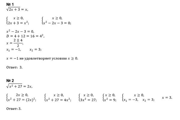
[b]Иррациональные уравнения.[/b]...
Условие
6087a7f8031948747667e243
30.04.2021 11:12:30
[b]Иррациональные уравнения.[/b]
математика 8-9 класс
250
Решение
5f3eaa23faf909182968dde0
30.04.2021 11:59:47
★
Написать комментарий
Меню
Решим всё
Найти задачу
Категории
Статьи
Тесты
Архив задач
Присоединяйся в ВК