Задать свой вопрос   *более 50 000 пользователей получили ответ на «Решим всё»

Задача 59490 Линейные дифференциальные однородные...

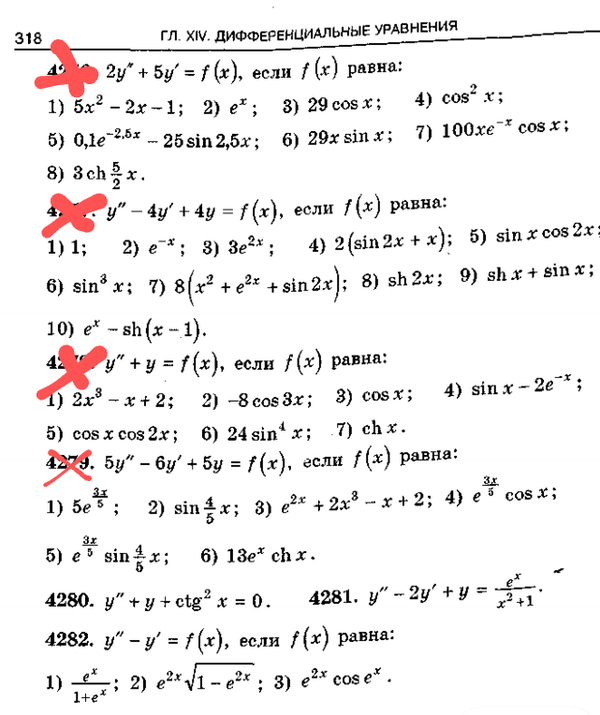
Условие

Линейные дифференциальные однородные уравнения второго порядка.

Решите 4 примера из номеров 4268-4282, кроме номеров 4275-4279.

математика ВУЗ 284

Решение

Написать комментарий

Меню

Присоединяйся в ВК