Задать свой вопрос   *более 50 000 пользователей получили ответ на «Решим всё»

Задача 59320 Даны точки A (4; -1; 2); B (1; 0; 3); C...

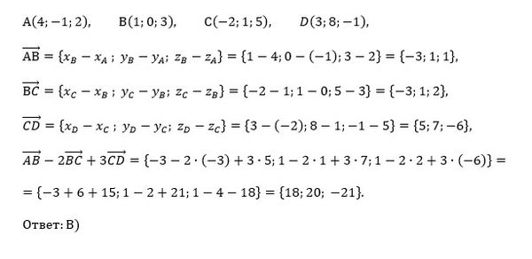
Условие

Даны точки A (4; -1; 2); B (1; 0; 3); C (-2; 1; 5); D (3; 8; -1)
Найти линейную комбинацию векторов AB - 2BC + 3CD
A) (-20;18;21) B) (18;20;-21) C) (-4;-18;21) D) (21; 8;20) E) другой ответ

математика 1225

Решение

Написать комментарий

Меню

Присоединяйся в ВК