Задать свой вопрос   *более 50 000 пользователей получили ответ на «Решим всё»

Задача 59279 Помогите решить пожалуйста (Тема :...

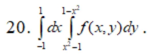
Условие

Помогите решить пожалуйста (Тема : Кратные, криволинейные и поверхностные интегралы)
Изменить порядок интегрирования в двойном интеграле. Область интегрирования изобразить на чертеже

математика 10-11 класс 349

Решение

Данный интеграл рассматривается по области вертикального вида:

см. рис. 1

-1 ≤ x ≤ 1

1-x^2 ≤ y ≤ x^2-1

Рассматриваем интеграл по области горизонтального вида (см. рис. 2)

Получаем две области.

-1 ≤ y ≤ 0

x^2=y+1 ⇒ x= ± sqrt(y+1)

левая ветвь имеет уравнение
х=- sqrt(y+1)

правая ветвь имеет уравнение
х= sqrt(y+1)

Аналогично вторая область

О т в е т.

= ∫^(0)_(-1)dy ∫ ^(sqrt(y+1))_(-sqrt(y+1))f(x;y)dx+∫^(1)_(0)dy ∫ ^(sqrt(1-y))_(-sqrt(1-y))f(x;y)dx

Написать комментарий

Меню

Присоединяйся в ВК